Validation
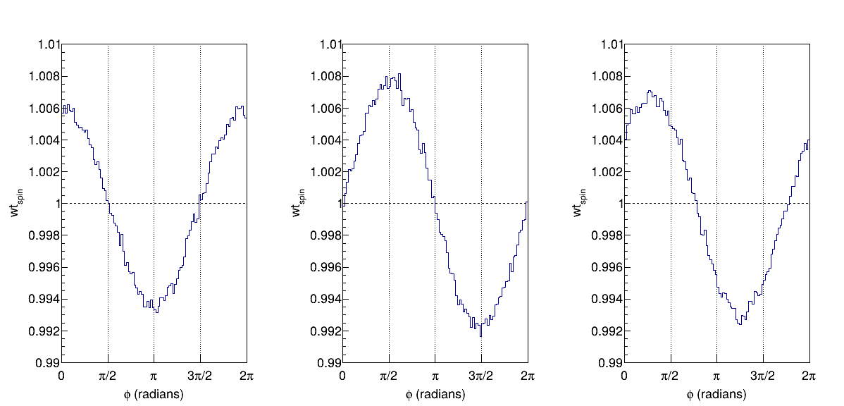
The F77 version of KKMCee already includes spin-weight calculations, with and without anomalous electric and magnetic dipole moment contributions for the \(\tau\) lepton. However, that implementation is not standalone, so obtaining new weights requires rerunning the entire simulation. We provide a standalone C++ implementation that computes the weights directly. This is only possible due to the inclusion of the new attributes in the HepMC3 output file. A lightweight reader processes the HepMC3 event record - including the newly added attributes and particle information and computes, event by event, the spin weights with and without the new couplings. The procedure mirrors the logic of Korchin et. al. and uses the same spin–correlation matrix \(R_{ij}\)
The Figure 2 in Korchin et. al. is reproduced and shown below.
